Skip to content Skip to sidebar Skip to footer

Bucket Elevator Design Calculation+pdf

4b Bucket Elevator Design Service

4b Bucket Elevator Design Service

Bucket elevator design calculation+pdf. Swinglink Heavy Duty Bucket Elevators. The volumetric capacity used for selection must be the maximum the elevator will experience. Calculating Bucket Elevator Capacity STEP 1.

With an array of sizes finishes and options each bucket elevator is designed to meet your specific needs. This project focus on bucket elevator conveyor because this system is a labor saving that allows large volumes to move rapidly through a process easy maintenance and high reliability operation. Guide Index There are many variables to consider when designing a Bucket Elevator.

0 Overview of belt bucket elevators and their use. Offers many sizes options and features not all can be covered here. Peak loads The bucket elevator gear units may only be overloaded for a short period of time.

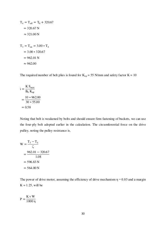
CONCLUSIONThis paper discusses the design calculations and considerations of belt conveyor system. Use Table 1-1 for conversions if necessary. Bucket elevator design calculations pdf Design Specification Table - Bucket Elevators.

Swinglink elevatorsconveyor for gentle product handling. The following is the list of types of construction and how the filed connection joints must be made for each type. JIB BOOM Our heavy-duty bolt-on design provides a cost.

Bucket Elevator Design Calculation Pdf Download Eng. BUCKET ELEVATOR v2 February 19 2019 5 Figure 1. 8 Pulleys - Size selection types speeds tables bucket elevator and wing pulley application.

2Centers or Lift. To properly select a bucket elevator the following factors must be deter-mined.

Design And Model Of Bucket Elevator

Design And Model Of Bucket Elevator

Pdf Design Consideration Of Bucket Elevator Conveyor Ijirst International Journal For Innovative Research In Science And Technology Academia Edu

Pdf Design Consideration Of Bucket Elevator Conveyor Ijirst International Journal For Innovative Research In Science And Technology Academia Edu

Design And Model Of Bucket Elevator

Design And Model Of Bucket Elevator

Basic Description Of Bucket Elevators Springerlink

Basic Description Of Bucket Elevators Springerlink

Design And Model Of Bucket Elevator

Design And Model Of Bucket Elevator

Bucket Elevator Manual Pdf Belt Mechanical Elevator

Bucket Elevator Manual Pdf Belt Mechanical Elevator

Cema No 375 2017 Bucket Elevators Book Best Practices In Design 1st Ed Pdf Non Printable Cemastore

Cema No 375 2017 Bucket Elevators Book Best Practices In Design 1st Ed Pdf Non Printable Cemastore

Pdf Bucket Elevator Manual Safety Installation Operation Maintenance Yudhi Alimuddin Academia Edu

Pdf Bucket Elevator Manual Safety Installation Operation Maintenance Yudhi Alimuddin Academia Edu

Design Of Bucket Elevator With Auto Belt Tensioner Unit

Design Of Bucket Elevator With Auto Belt Tensioner Unit

All About Bucket Conveyors Types Design And Uses

All About Bucket Conveyors Types Design And Uses

Bucket Elevator Horsepower Calculation Engineering Guide

Bucket Elevator Horsepower Calculation Engineering Guide

Bucket Elevator Horsepower Calculation Engineering Guide

Bucket Elevator Horsepower Calculation Engineering Guide

Conveyor Belt Bucket Elevator Bulk Material Handling

Conveyor Belt Bucket Elevator Bulk Material Handling

Bucket Elevators Basic Types Pitched Bucket Elevator Ppt Video Online Download

Bucket Elevators Basic Types Pitched Bucket Elevator Ppt Video Online Download

Design Of Bucket Elevator With Auto Belt Tensioner Unit

Design Of Bucket Elevator With Auto Belt Tensioner Unit

Belt Bucket Elevator Design Second Edition Ebooks Science

Belt Bucket Elevator Design Second Edition Ebooks Science

Belt Bucket Elevator Design Belt Mechanical Transmission Mechanics

Belt Bucket Elevator Design Belt Mechanical Transmission Mechanics

Industrial Bucket Elevators Vertical Bucket Conveyors Bucket Elevator Types Blogmech

Industrial Bucket Elevators Vertical Bucket Conveyors Bucket Elevator Types Blogmech

Bucket Elevator Horsepower Calculation Engineering Guide

Bucket Elevator Horsepower Calculation Engineering Guide

Bucket Elevator Troubleshooting Causes Effects Solutions Infinity For Cement Equipment

Bucket Elevator Troubleshooting Causes Effects Solutions Infinity For Cement Equipment

Bucket Elevator Part Bucket Elevator Guide Bucket Elevator How It Works Blogmech

Bucket Elevator Part Bucket Elevator Guide Bucket Elevator How It Works Blogmech

Design And Model Of Bucket Elevator

Design And Model Of Bucket Elevator

Input Parameters For Dem Geometry Of The 3d Model And Validation Machine Springerlink

Input Parameters For Dem Geometry Of The 3d Model And Validation Machine Springerlink

Https Encrypted Tbn0 Gstatic Com Images Q Tbn And9gcso V5s5gvs6mwnebhk3ccm2tkgzsfcluokddj46nwhq X4cazd Usqp Cau

Https Encrypted Tbn0 Gstatic Com Images Q Tbn And9gcso V5s5gvs6mwnebhk3ccm2tkgzsfcluokddj46nwhq X4cazd Usqp Cau

Conveyor Series Anhui Wendu Mining Equipment Co Ltd

Conveyor Series Anhui Wendu Mining Equipment Co Ltd

Elevator Design Calculations

Elevator Design Calculations

Pdf A Design Process To Eliminate Bucket To Bucket Interference On Chain Bucket Elevator

Pdf A Design Process To Eliminate Bucket To Bucket Interference On Chain Bucket Elevator

Coupled Gas Particulate Discharge From A Bucket Elevator Sciencedirect

Coupled Gas Particulate Discharge From A Bucket Elevator Sciencedirect

Pdf Discrete Element Modelling Of A Bucket Elevator Head Pulley Transition Zone

Pdf Discrete Element Modelling Of A Bucket Elevator Head Pulley Transition Zone

Engineering

Engineering

2

2

Elevator Calculations Vav Aandrijvingen Bv

Elevator Calculations Vav Aandrijvingen Bv

2

2

Bucket Elevator Drawing At Getdrawings Free Download

Bucket Elevator Drawing At Getdrawings Free Download

Design And Model Of Bucket Elevator

Design And Model Of Bucket Elevator

Elevator Design Calculations

Elevator Design Calculations

Cdm Systems Bucket Elevator Animation Youtube

Cdm Systems Bucket Elevator Animation Youtube

2

2

Pdf A Design Process To Eliminate Bucket To Bucket Interference On Chain Bucket Elevator

Pdf A Design Process To Eliminate Bucket To Bucket Interference On Chain Bucket Elevator

Bucket Elevator Filling And Discharge Springerlink

Bucket Elevator Filling And Discharge Springerlink

Elevator Design Calculations Pdf

Elevator Design Calculations Pdf

Bucket Elevator Calculation Belt Mechanical Elevator

Bucket Elevator Calculation Belt Mechanical Elevator

Dust Control In Problem Areas Pneumatic Dust Control In Grain Elevators Guidelines For Design Operation And Maintenance The National Academies Press

Dust Control In Problem Areas Pneumatic Dust Control In Grain Elevators Guidelines For Design Operation And Maintenance The National Academies Press

2

2

Design Of Screw Conveyor Size Of Screw Conveyor Screw Conveyor Capacity Calculation Screw Conveyor Design Calculation Blogmech

Design Of Screw Conveyor Size Of Screw Conveyor Screw Conveyor Capacity Calculation Screw Conveyor Design Calculation Blogmech

Tech Brief Drag Chain Conveyor Operation Cdm Systems Inc

Tech Brief Drag Chain Conveyor Operation Cdm Systems Inc

Pdf Bucket Elevator Properties Design And Calculation

Pdf Bucket Elevator Properties Design And Calculation

Conveyor Belt Design Manual Bridgestone 1

Conveyor Belt Design Manual Bridgestone 1

1

1

The volumetric capacity used for selection must be the maximum the elevator will experience.

During design of bucket elevator a few factors are consider for design and based on this for input data whole design calculations were carried out. Bucket Elevator Design Calculation Pdf Download Eng. Typical ID tag location General Introduction This manual is intended to provide basic information regarding the general design features and installation of Warrior Mfg. Bucket Elevator Manual - Free download as PDF File pdf Text File txt or read online for free. Swinglink Heavy Duty Bucket Elevators. Belt and Chain Bucket Elevator. Bucket elevators must be uniformly and continuously fed. Bucket elevators are the most used systems for vertical transport of. Multiply the CAPACITY of the bucket times the NUMBEROFBUCKETS per foot 12 divided by spacing times the NUMBER OF ROWS of buckets.


General overview of bucket elevator products. Bucket elevator design calculations pdf Design Specification Table - Bucket Elevators. Design with FS 1518 Calculate permitted operating power. 129 10 Bucket Elevator Sprockets - Sprocket styles and best practices. Bucket elevators are furnished with three types of construction. General overview of bucket elevator products. This project focus on bucket elevator conveyor because this system is a labor saving that allows large volumes to move rapidly through a process easy maintenance and high reliability operation.

Post a Comment for "Bucket Elevator Design Calculation+pdf"